1 Dag Equals Kg

Kilogram Kg Hectogram Hg Decagram Dag Gram G Decigram Dg Centigram Cg Milligram Mg Kilogram Kg Hectogram

Kilograms To Dekagrams Convert Kg To Dag

Kilograms To Tons Convert Kg To T
B Convert The Following Measures Of Mass 1 11 Gauthmath

Conversion Of 1 Ug To Kg Calculateplus

Conversion Of Grams Into Kilograms Youtube
3 1 Systems Of Measurement Introductory Algebra

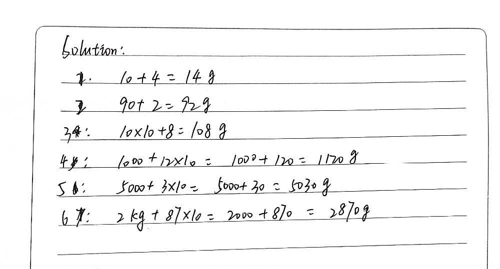
1 Dag 4 G 10 G 4 G 9 Dag 2 G Underline 10 Dag 8 Gauthmath

Worksheet On Conversion Of Measuring Mass Kilograms Into Grams

Convert Decagram To Kilogram Dag To Kg Batch Convert Foreach Id

1 Dag 4 G 10 G 4 G 9 Dag 2 G Underline 10 Dag 8 Gauthmath
B Convert The Following Measures Of Mass 1 11 Gauthmath
Https Www Homeschoolmath Net Worksheets Measurement Pdfs Metric System Length Weight Volume Pdf
Posting Komentar untuk "1 Dag Equals Kg"